+7 (343)371-75-00
620014 г. Екатеринберг, ул. 8 марта, дом 4
Режим работы: 9:00 до 18:00

 Тарифы

Новости и объявления

 квартира № 13 - 20408,16 руб, квартира № 16 - 26520,61 руб, квартира № 35- 47814,52 руб. 

 Уважаемые жители! 01.03.2022 года было проведено обследование помещения угольного склада специалистами экспертной компании. Несущие конструкции угольного склада находятся УЖЕ в критическом состоянии! Парковка на территории угольного склада, обозначенной ограждениями и белой краской, ЗАПРЕЩЕНА!!! 

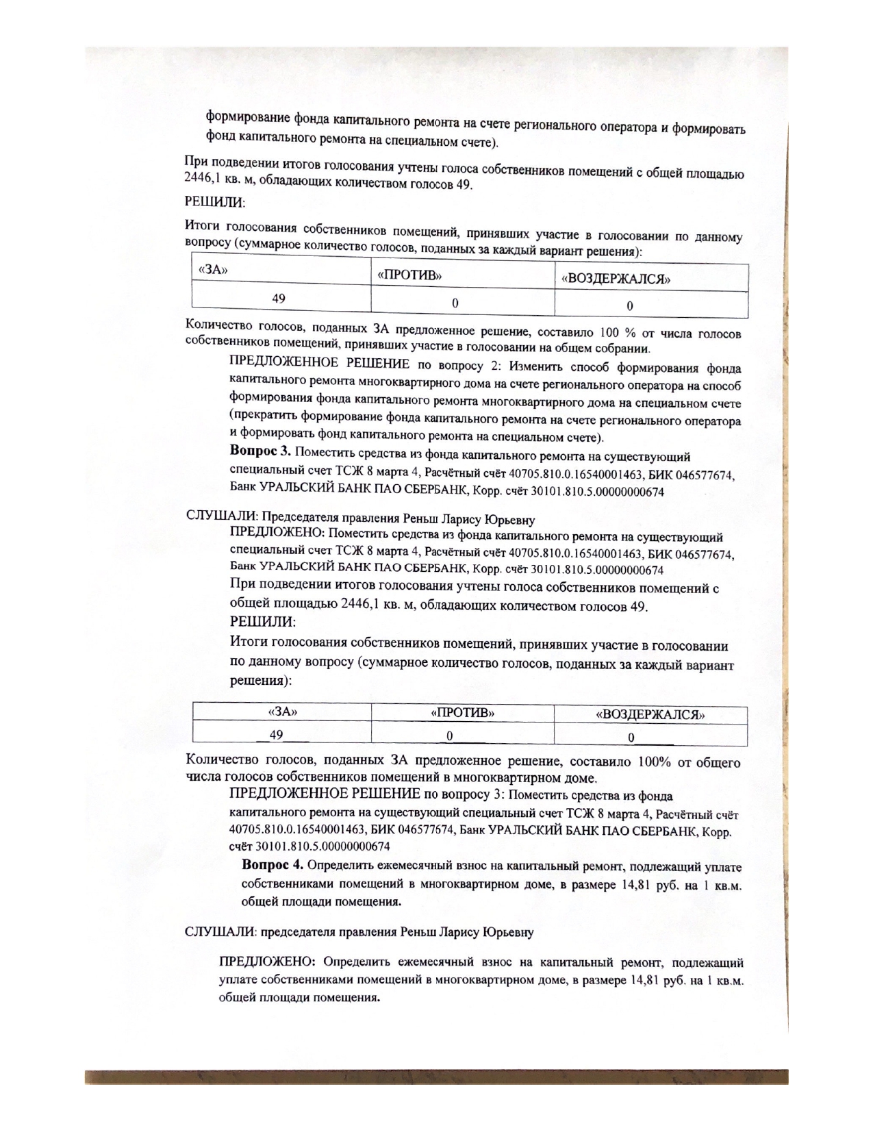
Протоколы общих собраний членов товарищества

Согласно "Стандарту раскрытия информации организациями, осуществляющими деятельность в сфере управления многоквартирными домами" (в ред. Постановлений Правительства РФ от 10.06.2011 № 459, от 06.02.2012 № 94) пункт 9(1) подпункт "г" в рамках информации об основных показателях финансово-хозяйственной деятельности товарищества или кооператива в данном разделе раскрытыт следующие сведения: протоколы общих собраний членов товарищества или кооператива, заседаний правления и ревизионной комиссии товарищества или кооператива, на которых рассматривались вопросы, связанные с содержанием и ремонтом общего имущества многоквартирного дома и (или) организацией предоставления коммунальных услуг (за текущий год и год, предшествующий текущему году).